Daikin Perfera Regelung Diskussion [abgetrennt]

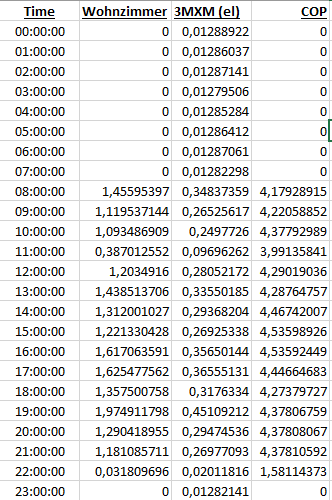
Eine 3MXM kann mit externer Steuerung so laufen:

Näherungsweise ergeben sich daraus die folgenden stündlichen Leistungswerte:

Das ist mit der Steuerungslogik der Daikin-Anlagen allein nicht zu erreichen.

Du musst eine grundsätzliche Entscheidung treffen

  • Willst Du Dich überhaupt nicht um die Anlage kümmern? Dann alles auf "AUTO" (Bedarfssteuerung, Lüfter).
  • Willst Du längere Laufzeiten mit größeren Temperaturschwankungen im Raum? Dann folge dem Vorschlag von @win und verlege den Temperatursensor nach außen und dämme ihn.
  • Willst Du effizienzoptimiert heizen und kühlen? Dann führt nichts an einer externen Steuerung vorbei (ioBroker, openHAB, HomeAssistant, ...).

Zum letzten Punkt gibt es hier im Forum schon einige Erfahrungen und sicher auch Unterstützung. Alles andere ist ein Kompromiss, mit dem man leben kann, wenn man mit Kompromissen leben will.

@jogobo Wie kommst Du auf die thermische Leistung?

Eurovent-Daten linear interpoliert. Ist nur eine Näherung, bei der ich die elektrische Leistung abzüglich der Standby-Leistung und der Stromaufnahme des Lüfters mit dem COP laut Eurovent multipliziere. Die ersten zwei Minuten nach Start der Anlage bleiben auch aus der Wärmeberechnung raus.

1 „Gefällt mir“

Aber in der Onecta-App sieht man auch den Verbrauch bzw die Wärmeabgabe. Wisst ihr ob diese Werte stimmen?

Ich habe das Problem dass ich hier auf Faktor 1,4 komme was für die aktuellen Temperaturen mit rd 2,5 Schnitt ja grottenschlecht ist, oder? :pensive::pensive:.

Kann das am oftmaligen Takten liegen?

Bzw habe ich ein Spezialthema: ich habe ja 2 Außeneinheiten an denen je 2 IG hängen, siehe meinen Vorpost. In der App sehe ich aber nur 1 Außengerät und bei diesem die gesamte Wärmeabgabe. Dh ev fehlt nur jene vom anderen Außengerät. Denn beim Verbrauchsschirm ist der Verbrauch aller 4 IGs angegeben.


Denkt ihr, dass lediglich in der App das 2. AG nicht angezeigt wird und die Wärmeabgabe in Wahrheit daher deutlich höher ist, da eben nur jene des 1. AG angezeigt wird?

Herzlichen Dank

1 „Gefällt mir“

Hast du mal ein Bild, in welcher Form die Wärmeabgabe in der Onecta-App angezeigt wird?

Die Onecta-App protokolliert (recht grob) den Stromverbrauch und teilt ihn auf die IGs auf. Die Wärmemenge wird (bei Stylish und Perfera) nicht angegeben.

Ja, das weiß ich. Sie stimmen nicht. Meine Klimas hängen an einem eigenen Stromkreis mit separatem Zähler.
12/24: Onecta = 67,6 kWh, gemessen = 69,6 kWh
11/24: Onecta = 103,9 kWh, gemessen = 103,8 kWh
10/24: Onecta = 42,0 kWh, gemessen = 37,4 kWh

Im November passte es ziemlich gut, ansonsten sind Abweichungen von 15% keine Seltenheit. In den gemessenen Werten sind übrigens auch alle Standby-Verbräuche enthalten.

Habe ich doch im Vorbeitrag gepostet :wink:.

Ich habe die Übersicht der Verbrauchsseite mit den vier IG und sie Wärmeabgabeseite mit dem einen AG (wir haben aber 2) gepostet . Deshalb glaube ich dass ev nur die Wärmeabgabe des einen, angezeigten AG gezeigt wird.

Sieht man die beiden Screenshot nicht?

LG

Aber ich sehe doch die Wärmeabgabe -siehe Screenshot anbei nochmals- und ich habe 4 Perfera-IGs, je 2 auf einem AG.

Bei Verbrauch zeigt Screenshot schön die 2 AGs mit jeweils d2 IG, bei Wärmeabgabeschirm aber nur 1 AG.



Es sieht so aus, als würden die AGs unterschiedliche Daten bereitstellen. "Wärmeabgabe" taucht bei mir in der Onecta-App überhaupt nicht auf. Dein letzter Screenshot lässt vermuten, dass das AG, an dem die "Küche" hängt, aus 78 kWh Strom 281,5 kWh Wärme erzeugt hat. Das entspräche einem COP von 3,6.
Das andere AG scheint diese Informationen nicht zur Verfügung zu stellen. Als erstes könntest Du in der App die Firmware-Versionen der IGs abgleichen. Wie man an die Firmware-Version des AGs kommt, wüsste ich spontan nicht.

Bei mir wird die Wärmeabgabe beider Außengeräte angezeigt.

Ok danke, mit 3,6 würde ich bei Schnitt 2,6 Außentemperatur jubeln.

Ich frage einmal bei Daikin Service nach.

Was ich aber wirklich und generell nach 2 Wochen Betrieb sagen kann:

1 bis bisher -1,5 Grad spielt sich die bestehende Anlage mit den 80m2 bei moderater Dämmung - Wahnsinn. Eigentlich hätten statt den 4 IGs mit 10kw wohl locker 2 IGs mit 4kw gereicht ( ich weiß bei -7 Grad sieht es anders aus, darum haben wir ja überdimensioniert)

2 die AGs sind wirklich leise, bei Absenkung durch Ergono und Bedarssteuerung ohnehin

3 die IGs sind sehr leise wenn auf Flüstermodus gestellt.

4 einziges Thema, wo ihr mir dankenswerterweise mit Ratschlägen unterstützt ist das Takten. Skurrilerweise läuft meist 1 Kreis 15-40 Min durch dann aus, dann wieder 15-40 Min während der andere teilweise im 3-4 Min ein-/ausschaltet. Tipp von Daikin auf Lüfterstufe 5 zumindest 3 zu schalten um Wärme vom AG in den Raum zu bekommen hat bislang nur gering geholfen. Muss ich mich weiter spielen.

Werde auch mal Lüfterstufe 5 probieren aber das ist vom Komfort halt hardcore.

  • Was offenbar nicht so gut funktioniert ist die Streamer-Funktion: das Haus riecht nach Sanierung trotz neuer Böden Fenster und Nikotinfarbe an Decken und Wänden leicht nach Rauch. Streamer vor 2 stauen eingeschaltet, keine Verbesserung.

Wie hast du sie in die App eingebunden?

Ah ja, jetzt lese ich dort auch "Wärmeabgabe". Dachte, das wäre elektrisch.

Ich glaube, das ist recht neu in der Onecta-App, hat früher hier nie jemand erwähnt. Ich vermute, das ist die Umsetzung wg. der Forderung der BAFA-Förderung, die ja eine Wärmemengenanzeige vorschreiben.

Wie genau diese Angabe ist, ist schwer zu sagen. Aber wenn schon die elektrischen Angaben teils um 10-40 % verkehrt sind, kann man davon nicht so viel erwarten. Auch gut möglich, dass Hersteller da gerne die Sache schönrechnen. Sonst beschweren sich nach der Heizsaison zu viele Kunden. Kennt man von vielen LWWP, dass da auch schöngerechnet wird.

Vielleicht taugt es zumindest zur groben Orientierung für die Effizienzoptimierung.

Danke

Betreff der Abweichung: Shelly zeigt mir 210,38kw, Onecta App 239kW, von Shelly sind ca 10kw Licht etc dh Abweichung ist bei uns rd 20%

Ich meine schauen wir einmal, bisher bin ich mit dem Strombedarf angesichts des Energienachweises (109) der alten Hütte :wink: trotz nachträglichem Fenstertausch positiv vom Verbrauch überrascht: rd 18-20kw bei 3 Grad Schnitt finde ich nicht so schlecht va wenn wir das mit dem Takten in den Griff bekommen und Anlage effizient fährt.

wie kann ich bitte so wie ihr den Beitrag auf den sich meine Antwort bezieht zitieren (sowie Win zuvor mit meinem Beitrag)?

Danke euch

@profgruen1 , welche App Version von onecta hast du? Kann man unter "mehr" und "Einstellungen" sehen.

Das mit der Angabe der Wärmemenge finde ich echt spannend. Entweder es liegt an der App (Version) oder an den verbauten Geräten. Ich habe die Ansicht (auch wenn sie sicherlich eher ungenau ist) bei mir (noch) nicht (3MXM52 und rxm25)...

3.33.0-11966 (33300010)

Stinknormale 2MXM 40 und 2MXM50 außen und Perfera Truhen und
1 Wandgerät innen

Ich frage mich nur, auch nach Post von Win, wie genau diese Wärmemengenabgabe-Anzeige ist. 10-20% ist mir egal aber näherungsweise wäre es schon gut, weil ich gerne den ca. COP wissen möchte (=ob die Anlagen effizient bei uns laufen)

Markieren, was du zitieren willst, dan kommt schon ein Popup Fenster mit "Zitieren". Da einfach draufklicken.

ah ja danke